產品介紹 | PRODUCTS
聯系我們 | CONTACT US
- 內貿部:18953701056 (劉廣臣)
您所在的位置:
首頁 >>
產品介紹 >>
聚羧酸類阻垢分散劑、水性分散劑 >>
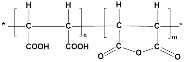
水解聚馬來酸酐 HPMA產品介紹
水解聚馬來酸酐 HPMA
Hydrolyzed Polymaleic Anhydride (HPMA)
別名:聚馬來酸,聚順丁烯二酸 CAS No. 26099-09-02
一、性能與用途
HPMA一般相對分子量為400~800,無毒,易溶于水,化學穩定性及熱穩定性高,分解溫度在330℃以上。HPMA適用于堿性環境。由于HPMA阻垢性能和耐高溫性能優異,因此在海水淡化的閃蒸裝置中和低壓鍋爐及工業循環冷卻水中得到廣泛使用。另外HPMA有一定的緩蝕作用,與鋅鹽復配緩蝕效果更好。
HPMA還可用于水泥外加劑,鹽堿土壤改良劑。
二、技術指標
| 項 目 | 指 標 |
| GB/T 10535-2014 | |
| 外 觀 | 淺黃色至棕紅色透明液體 |
| 固體含量/% | ≥50.0 |
| pH值(1%水溶液) | 2.0~3.0 |
| 密度(20℃)/g·cm-3 | 1.22-1.25 |
| 溴值/mg·g-1 | ≤50.0 |
三、使用方法
HPMA單獨使用時一般使用濃度為1-15mg/L,常與有機膦酸鹽復合,用于循環冷卻水處理及低壓鍋爐的爐內處理,具有良好的抑制水垢生成和剝離老垢的作用,阻垢率可達98%,EDTMPS與HPMA按1:3比例復配后,可用于低壓鍋爐爐內水處理;HPMA與鋅鹽復配時,能有效地防止碳鋼的腐蝕。
四、安全與防護
HPMA為酸性,操作時注意勞動保護,應避免與皮膚、眼睛等接觸,接觸后用大量清水沖洗。
五、包裝與儲存
HPMA為塑料桶包裝,每桶25kg或由用戶確定。貯存期為十二個月。
銷售熱線:0632-5113088 銷售傳真: 0632-5113155
地址:山東省棗莊市市中區十里泉東路1號 網址:http://m.cmec-iec.com.cn E-mail:th@thwater.com
版權所有© :2006-2021 山東泰和科技股份有限公司 魯ICP備09091669號-43
地址:山東省棗莊市市中區十里泉東路1號 網址:http://m.cmec-iec.com.cn E-mail:th@thwater.com
版權所有© :2006-2021 山東泰和科技股份有限公司 魯ICP備09091669號-43


